关于2023年研究生学业奖学金名单公示

来源:     发布时间:2023-11-02    作者:    点击次数:

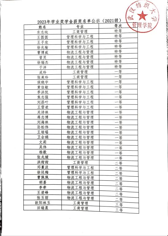
经本人申请,学院研究生奖学金评审小组评议,拟推荐以下同学获评2023年研究生学业奖学金,名单如下:(同等次按拼音排序)

公示期5个工作日(11月2日-8日),如有异议,请于公示期内反馈至学院研究生管理办公室,联系电话:027-59367202。

或将相关情况反馈至院长信箱,邮箱地址:glxy@wtu.edu.cn。

太阳集团网tyc9728

2023年11月2日

9728太阳集团(股份公司)·Official website版权所有  ©   From 2015. All Rights Reserved  鄂ICP备05003335号 
地址:武汉市江夏区阳光大道1号 电话:027-59363328 59367318 传真:027-87800491